文献解读 | 重金属污染威胁水稻土碳封存能力,导致微生物合成代谢减弱
2026-03-23


文献解读 | 重金属污染威胁水稻土碳封存能力,导致微生物合成代谢减弱


标题:Heavy metal contamination threats carbon sequestration of paddy soils with an attenuated microbial anabolism

译名:重金属污染威胁水稻土壤的碳封存能力,导致微生物分解代谢减弱

期刊:Geoderma

IF6.6

通讯作者:Li Xiong 熊丽 江西省农业科学院土壤与肥料及资源环境研究所

DOIhttps://doi.org/10.1016/j.geoderma.2025.117486


一、 研究亮点

·视角创新:突破了既往研究主要关注微生物分解代谢的局限,首次从微生物合成代谢这一新兴理论角度,系统揭示了重金属污染影响土壤有机碳(SOC)持久性的关键微生物机制。

·机制阐明:明确了重金属污染通过降低微生物碳利用效率(CUE)和土壤氮有效性,从而抑制微生物生物量形成与残体(如氨基糖)积累,最终导致SOC减少的完整路径。

·方法综合:研究结合了多变量统计分析(变异分解、随机森林)和结构方程模型(SEM),不仅量化了各因素的影响权重,还直观展示了重金属污染的间接作用路径,使结论更为严谨。

·现实意义重大:将重金属污染直接与稻田土壤碳汇功能退化相联系,警示了一种新的环境风险——污染不仅威胁粮食安全,还可能削弱土壤在气候变化中的关键固碳作用。


二、 研究背景

土壤有机碳(SOC)是土壤肥力的基础,同时也是重要的陆地碳库,对减缓气候变化有关键作用。随着人类活动加剧,农田土壤重金属污染日益严重,直接危害土壤健康与粮食安全。

微生物作为SOC转化的主要调控者,对重金属污染非常敏感。以往研究多聚焦于重金属对微生物分解代谢(如呼吸作用)的影响,但结果存在矛盾。而最新理论表明,微生物合成代谢(生长、增殖、产生残体)对SOC长期固存的贡献可能超过50%,但重金属如何影响此过程尚不明确。

图(1)

1. 研究区及沿县岔河13个采样点位置示意图


三、 研究目的与方法

本研究通过在江西省废弃钨矿下游沿污染梯度选取13个稻田采样点,旨在揭示重金属污染如何通过微生物合成代谢过程影响SOC动态。

研究方法包括:

污染指标:测定8种重金属含量,计算综合污染指数(Nemerow指数)

SOC指标:土壤有机碳含量测定

微生物合成代谢指标:采用18O-H2O示踪法测定微生物碳利用效率(CUE)和生物量周转时间

土壤理化性质:pH、氮磷钾含量、阳离子交换量等


表(1)

1不同采样点的重金属含量与内梅罗指数


·镉和铜的风险筛查值分别为0.3毫克/千克和50毫克/千克。同一列中不同小写字母表示采样点间存在显著差异(Tukey HSD 检验,P<0.05)。

·根据表1分析,研究区域稻田土壤普遍受到CdCu的复合污染,且污染程度随距离矿区的远近而变化。


表(2)

2不同采样点的土壤理化性质


·同一列中不同小写字母表示采样点间存在显著差异(Tukey HSD 检验,P < 0.05)。

·表格2显示,重金属污染与土壤有机碳含量及氮素有效性存在显著的负相关关系。

表(3)

3不同采样点的土壤微生物特性


·同一列中不同小写字母表示采样点间存在显著差异(Tukey HSD 检验,P < 0.05)。

·量化不同污染程度下土壤的微生物合成代谢相关指标。

·表格3显示,重金属污染显著抑制了微生物的合成代谢功能,表现为微生物生物量、微生物残留物积累以及碳利用效率的全面下降。


四、 核心发现与数据解读

1. 重金属污染对微生物合成代谢的抑制作用

图(2)

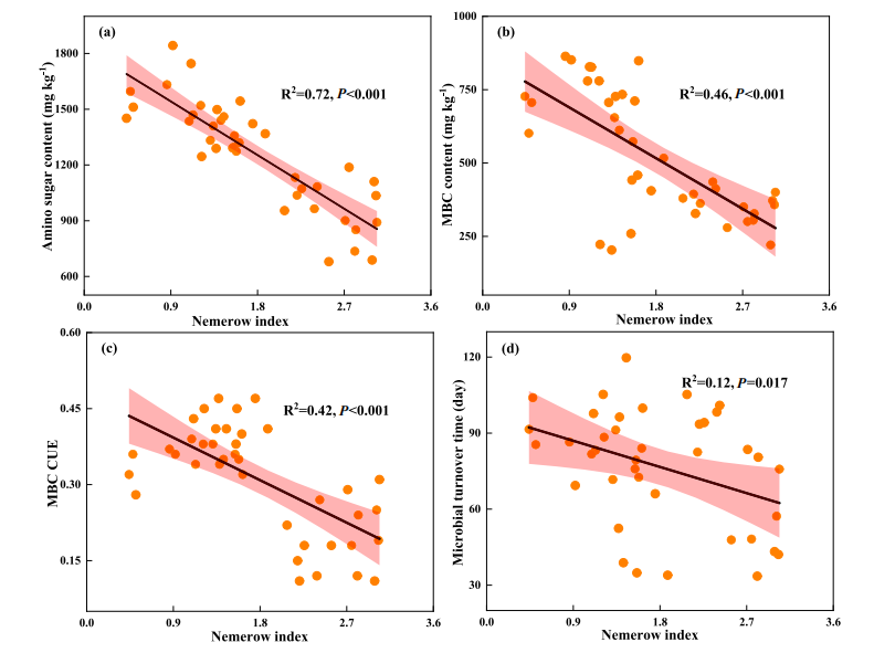
2. 内梅罗指数与微生物变量的关系:(a) 氨基糖含量,(b) MBC含量,(c) 微生物CUE(d) 微生物更替时间

2显示,随着内梅罗指数(污染水平)升高,氨基糖含量、MBC含量、微生物CUE均显著线性下降,微生物更替时间也略有缩短。这直观证明了重金属污染对微生物合成代谢相关指标的抑制作用。


2. 土壤有机碳储量与污染程度负相关

图(3)

3. 内梅罗指数与(a)土壤有机碳(SOC)含量及(b)SOC中氨基糖比例的关系。

3a显示SOC含量与内梅罗指数呈显著负相关(R²=0.46),表明污染越重,土壤有机碳储量越低。图3b显示氨基糖在SOC中的占比也与污染程度呈负相关,说明微生物残体贡献的稳定有机碳比例在减少。


3. 土壤氮素有效性的关键作用

图(4)

4. 污染与碳库的负相关:土壤重金属污染综合指数(Nemerow指数)与SOC含量呈显著负相关(R²=0.46)。


4显示只有总氮(TN)和水解氮(HN)与内梅罗指数呈显著负相关,表明重金属污染导致土壤氮素有效性降低,这进一步影响了微生物的生理功能。


4. 土壤氮素有效性驱动微生物碳利用效率提升

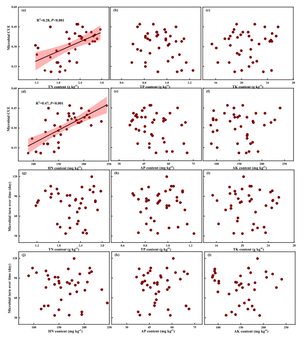
图(5)

5. 土壤养分与微生物生理特征的关系。(a-f) 微生物碳利用效率(CUE)与以下指标的关系:(a) 总氮(TN)含量,(b) 总磷(TP)含量,(c) 总钾(TK)含量,(d) 总氮(HN)含量,(e) 氨态磷(AP)含量,(f) 氨基酸钾(AK)含量;(g-l) 微生物周转时间与以下指标的关系:(g) TN含量,(h) TP含量,(i) TK含量,(j) HN含量,(k) AP含量,(l) AK含量。

关键发现:在图5中,只有微生物CUE与总氮(TN)和水解氮(HN)含量呈显著正相关。这表明土壤氮素有效性是维持微生物高效生长(高CUE)的重要条件。其他养分与CUE、以及所有养分与微生物更替时间均无显著相关性。

5. 微生物参数与SOC的密切关系

图(6)

6. 微生物变量与SOC含量的关系:(a) 氨基糖含量,(b) MBC含量,(c) 微生物CUE(d) 微生物周转时间。

6显示氨基糖含量、MBC含量、微生物CUE均与SOC含量呈显著正相关,说明微生物生物量、微生物残体积累量以及微生物生长效率共同决定了土壤有机碳的储量。


6. 驱动机制解析

图(7)

7. SOC变化的分区分析。


变异分解表明,SOC变异主要由重金属与微生物因素的交互作用(31.01%)以及三者的联合效应(20.37%)所解释。

图(8)

8.随机森林分析显示预测因子对SOC变异的置换重要性(MSE值增加百分比)。各预测因子的显著性水平设定如下:*表示P<0.05**表示P<0.01


随机森林分析显示,MBC和内梅罗指数是预测SOC最重要的两个因子。


图(9)

9. (a) 结构方程模型(SEM)展示了重金属污染、微生物特性及土壤氮有效性对土壤有机碳(SOC)变异的影响。


结构方程模型最终揭示:重金属污染直接和间接(通过降低微生物CUE和土壤氮有效性)减少了MBC和微生物残体的形成,从而导致SOC下降。该模型解释了81%SOC变异。


五、 结论

本研究提供了坚实的实证证据,表明重金属污染会抑制稻田土壤中微生物的合成代谢作用。污染胁迫下,微生物的碳利用效率降低,用于合成自身生物量及其死亡后残留物的碳减少,这些都是形成稳定土壤有机碳的关键前体物质。

这一发现将重金属污染、土壤微生物生理与全球碳循环紧密联系起来,对评估污染土地的生态功能和制定可持续管理策略具有重要科学意义。研究警示我们,重金属污染不仅威胁粮食安全,还可能通过削弱土壤碳封存能力,影响全球气候变化缓解进程






更多新闻动态
您探索科研的旅程,有我们始终如一的陪伴
前50名咨询用户立享受8.8折优惠
在线咨询
微信咨询
添加汉广客户经理享受1V1顾问式服务
电话咨询
官方电话188-5164-9768拨打电话 极速响应
回到顶部
拨打电话
免费体验
在线咨询
添加汉广客户经理享受1V1顾问式服务
限时领取免费试用资格
名额有限,免费的羊毛抓紧薅起来!
选择汉广,助您登上科研巅峰!
感谢您的认可
动动手指,即可免费下载站内资料,后续更多优质内容敬请关注呦!